圖 / 節點 / 邊#
圖 (Graph) 就是由多個節點 (Node / Vertex) 並透過邊 (Edge) 連結成的,像是下面的示意圖:

在題目中,常常會用來表達城鎮(Node / Vertex)和道路(Edge)之類的情境。
路徑和簡單路徑#
路徑就是指圖上,某個節點「走」到另外一個節點所經過的路,比如 5 走到 2 的路徑就長這樣:

簡單路徑就是指路徑上經過的節點都不會重複,也就是說,一個節點只會經過一次。比如 5 走到 2 的路徑可以繞好幾圈再走到 2,但是這樣的路徑就不是簡單路徑了。
有向圖和無向圖#
有向圖 (Directed Graph) 就是圖上的邊有方向,在題目的情境中,可能會用來表示只能單向通行的道路。畫出來的圖會長這樣:

無向圖 (Undirected Graph) 就是圖上的邊沒有方向,也就是說,兩個節點之間的道路是雙向的。畫出來的圖會長這樣:

連通性#
在圖論中,我們說兩個節點是連通的,就是指這兩個節點之間有路徑可以走到。比如下面這張圖,1 和 4 是連通的,而 1 和 5 就不是連通的:

當一個圖上的所有節點都是互相連通的,我們就稱這個圖是連通圖 (Connected Graph)。反之,如果有節點之間沒有路徑可以走到,我們就稱這個圖是非連通圖 (Disconnected Graph)。
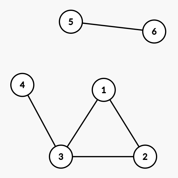
連通塊#
在一個圖中,如果有一群節點彼此之間都是連通的,但是和其他節點不連通,我們就稱這一群節點是一個連通塊 (Connected Component)。比如下面這張圖,1、2、3 是一個連通塊,4、5 是另一個連通塊:

度數#
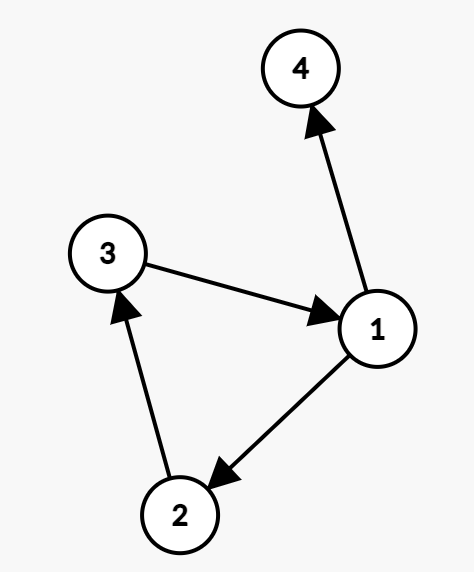
在圖論中,我們用度數 (Degree) 來表示一個節點的相鄰節點數量。對於有向圖,我們分為入度 (In-Degree) 和出度 (Out-Degree),分別表示進入這個節點的邊數和從這個節點出去的邊數。
以下面這張圖為例,節點 1 的出度是 2,入度是 1;節點 2 的出度是 1,入度是 1;節點 3 的出度是 1,入度是 1:

對於無向圖,我們只有度數這個概念,也就是說,無向圖的度數就是相鄰節點的數量,不用區分入度和出度。
環#
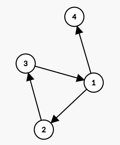
在圖論中,我們說一個路徑是環 (Cycle) 的話,就是指這個路徑的起點和終點是同一個節點,且路徑中除了起點和終點外沒有重複的節點。比如下面這張圖,1 -> 2 -> 3 -> 1 就是一個環:

當然在無向圖中,定義也是一樣的。
子圖#
在圖論中,我們說一個圖是另一個圖的子圖 (Subgraph) 的話,就是指這個圖的節點和邊都是另一個圖的節點和邊的子集。比如下面這張圖,紅色圈起來的 1、2、3 的部分就可以是這整張圖的子圖:

