什麼是樹#
樹 (Tree) 是一種資料結構,實際上就是圖論中的一個特例,許多演算法在樹上和圖上都是通用的。不過由於樹的結構有許多特點,因此特別拿出來介紹。
樹存在以下幾個性質:
- 由 \(n\) 個點及 \(n-1\) 條邊所組成。
- 任意兩點之間存在唯一的路徑。
- 樹中不存在環。
在解題中,樹的性質常常可以幫助我們簡化問題。
有根與無根#
大致上,樹可以分為有根樹 (Rooted Tree) 與無根樹 (Unrooted Tree) 兩種。
有根樹是指樹中有一個特定的節點稱為根節點,且該根節點不會有任何的 in degree,而無根樹則是沒有根節點的樹。
以這張圖為例,這就是一顆有根樹,根節點為 \(1\)。

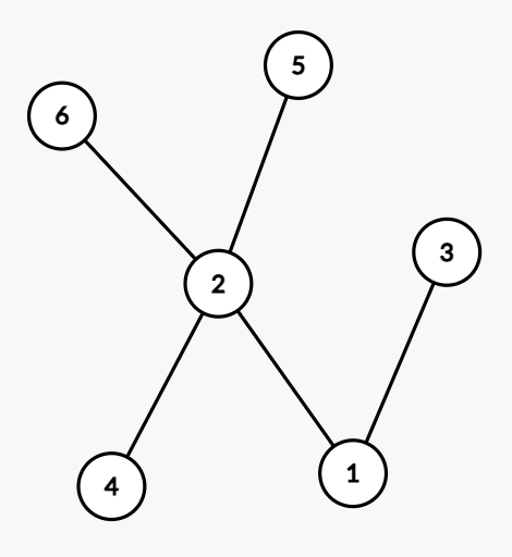
而這張圖則是一棵無根樹,實作上,我們通常會任意選擇一個節點當作根節點來處理。

建立一棵樹#
在 C++ 中,我們可以直接使用跟圖論相同的方式來建立一棵樹,也就是使用鄰接串列或鄰接矩陣。比較需要注意的地方是,有根樹要使用有向圖,而無根樹則使用無向圖來建立。
// 讀入 n-1 條邊
for (int i = 0; i < n - 1; i++) {
int u, v;
cin >> u >> v;
// 有根樹建有向邊
adj[u].push_back(v);
// 無根樹建無向邊
adj[u].push_back(v);
adj[v].push_back(u);
}
不過有根樹中,其實還有幾種儲存樹狀圖的流派,比如對於每個節點,我們可以儲存其父節點,或是儲存其子節點,這兩種方式各有優缺點,可以依照題目需求來選擇,甚至是所有的方式都同時使用。
