簡介#
二元樹 (Binary Tree) 是一種樹狀結構,每個節點最多只能有兩個子節點,分別為左子節點 (Left Child) 與右子節點 (Right Child)。也因為有一些比較特殊的性質,因此特別拿出來介紹。
走訪方式#
其中一個特點就是二元樹的 DFS 方式分成前序、中序和後序三種。
前序走訪就是指先處理目前節點然後再拜訪子節點,所以具體來說順序長這樣:
- 處理目前節點
- 拜訪左子節點
- 拜訪右子節點
中序走訪的順序:
- 拜訪左子節點
- 處理目前節點
- 拜訪右子節點
後序走訪的順序:
- 拜訪左子節點
- 拜訪右子節點
- 處理目前節點
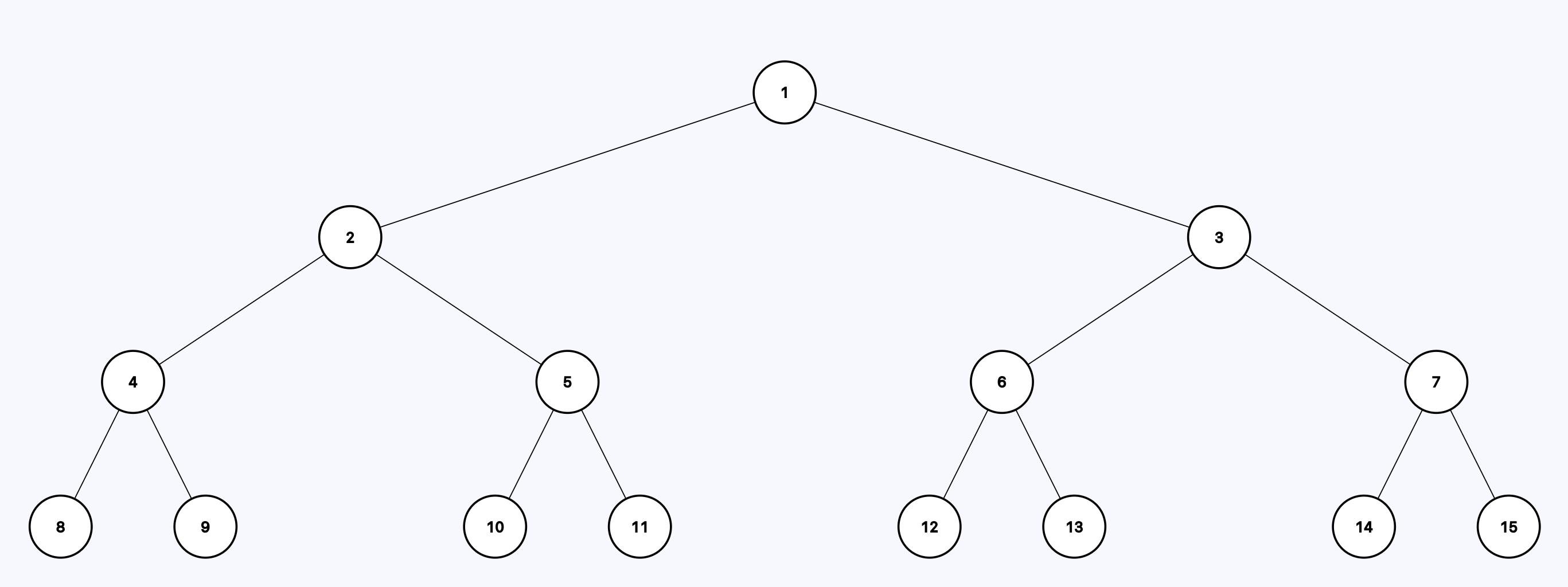
現在考慮這張圖,以 1 為根節點開始走訪:

前序走訪的結果是:1 3 4 2 5 7 6
中序走訪的結果是:3 1 4 7 5 2 6
後序走訪的結果是:3 4 7 5 6 2 1
這樣的走訪方式其實也可以套用在一般的樹上(先走訪子節點還是先處理目前節點),不過二元樹的特性讓這些走訪方式更有意義。
陣列中的二元樹#
許多資料結構都是二元樹的變化版,因次我們需要知道如何儲存一顆二元樹,雖然可以直接用存圖的作法儲存,但實際上有更方便的作法!
首先我們可以想像一下一顆完美二元樹,根節點的編號是 1,接下來每一層都由左至右從小到大編號:

有發現什麼性質嗎?
可以觀察到,對於任意一個編號 \(n\) 的節點:
- 左子節點的編號都是 \(2n\)
- 右子節點的編號都是 \(2n + 1\)
於是我們其實可以利用這個性質將二元樹直接存在陣列中!
const MAXN = 2e5 + 10;
int tree[MAXN * 4];
int get_right_child(int n) {
return n * 2 + 1;
}
int get_left_child(int n) {
return n * 2;
}
可注意到上面開陣列時我們使用的大小是總節點數量的四倍,這是為了確保存取時不要超出陣列範圍。
